Lettori fissi

sabato 26 marzo 2022

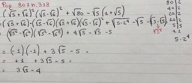
Matematica - Prodotti notevoli e radicali - esercizio n.318 pag. 807

 Matematica - Prodotti notevoli e radicali - esercizio n.318 pag. 807


Argomenti Correlati :

Matematica - Prodotti notevoli e radicali - esercizio n.314 pag. 807

Matematica - Prodotti notevoli e radicali - esercizio n.315 pag. 807

Matematica - Prodotti notevoli e radicali - esercizio n.319 pag. 807

Nessun commento:

Posta un commento

Vuoi ricevere un rimborso carburante immediato con una semplice App ?

  Ti spiego come fare   Fare il pieno di  benzina  o di altre tipologie di  carburante  per rifornire il proprio veicolo rimane una spesa se...